TYPE: Research Article![]()
Truncated Life: Patterns and Causes of Elephant Mortality in the state of Chhattisgarh, India
Ramesh Kumar Pandey¹,²,³+
, Athira N G¹+
, Kalpana Roy¹+
, Ananya Dutta¹, Dheeraj Mittal², Parag Nigam¹,³
, Anukul Nath¹,³
, Bilal Habib¹,³*![]()
¹Wildlife Institute of India, Dehradun, Uttarakhand, India
²Ministry of Environment, Forest and Climate Change (MoEFCC), India
³Academy of Scientific and Innovative Research (ACSIR), Ghaziabad, India
+Equal Contribution
RECEIVED 24 May 2025
ACCEPTED 13 October 2025
ONLINE EARLY 07 November 2025
Abstract
Human-elephant conflict (HEC) in Chhattisgarh, India, has intensified over the past two decades, threatening both elephant populations and rural livelihoods. This study analysed 218 elephant mortality incidents recorded between 2000 and 2023 to identify spatial, temporal, and ecological patterns underlying these deaths. Findings indicate electrocution as the leading anthropogenic cause, particularly affecting adult males, with mortality peaking during the monsoon season. Spatial analysis identified hotspots such as Dharamjaigarh, Chhal, and Jashpur, where the highest number of electrocution cases overlapped with key elephant corridors and movement routes. Land use and land cover (LULC) analysis (2000–2024) showed a -7.26% change in forest cover and a substantial increase in cropland and built-up areas, indicating habitat fragmentation as a key driver of conflict. Generalised linear- models identified proximity to croplands, elephant reserves, and edge density as significant predictors of mortality risk. Conservation measures must include monitoring distribution lines used in electric fencing, insulating power lines (selected locations), restoring habitat connectivity, and implementing AI-based monitoring tools. Additionally, community engagement through early warning systems and compensation schemes can reduce retaliation and foster coexistence. This study highlights the urgent need for integrated landscape-level planning and intersectoral coordination to mitigate HEC and secure the long-term survival of elephants in fragmented, human-dominated landscapes.
Keywords: Adult mortality, dharamjaigarh, electrocution, electric fencing, habitat fragmentation.
Introduction
Asian elephants have attracted global attention for conservation as their number has reduced by ~50% since the 1950s within a couple of elephant generations (considering about 60 to 75 years as the average lifespan of an elephant), along with rapid shrinkage of their habitat across the range countries (Sims et al., 2015; de Silva et al., 2023). The increase in human settlements and agricultural practices in Asia has led to widespread destruction of elephant habitats and reduced connectivity within the landscape (Jarungrattanapong & Olewiler, 2024; de Silva et al., 2023; Shaffer et al., 2019). Over the past decade, human–elephant conflict (HEC) has emerged as a major challenge across several Asian countries (Montez et al., 2021; Shaffer et al., 2019; Wilson et al., 2015). These conflicts have resulted in economic costs and caused injuries and fatalities among both humans and elephants (Bhagat et al., 2017; Köpke et al., 2024). With human activities increasingly encroaching on elephant habitats, HEC poses a critical threat to their survival across their range (Billah et al., 2021; Shameer et al., 2024). Therefore, a deeper understanding of land-use dynamics and integrated management inside and outside PAs is vital for conserving elephants in HEC-prone landscapes. In Central India, elephant habitat covers about 21,000 km² across Jharkhand, Odisha, Chhattisgarh, and southern West Bengal, supporting nearly 10% of the country’s elephant population (Menon et al., 2017, Baskaran et al., 2011) Although this landscape supports a relatively small elephant population, it records one of the highest human fatalities (Natarajan et al., 2023a). Central Indian forests are severely fragmented and degraded by intensive agriculture, shifting cultivation, mining, and expanding infrastructure. Historically, elephants were distributed across southern Uttar Pradesh, Madhya Pradesh, to Chhattisgarh (Baskaran et al., 2011). Chhattisgarh has a small population of elephants that initially travelled from Jharkhand and Odisha in the 1980s and 1990s. Over the past few decades, the forested areas in these two states have experienced degradation due to activities such as illicit logging, encroachments, industrialisation, and mining (Singh, 2002). Chhattisgarh serves as a corridor with this larger regional pattern of elephant range expansion driven by habitat degradation and fragmentation in the neighbouring states such as Jharkhand, Odisha and southern West Bengal (Debata et al., 2013; Singh, 2002). According to Forsyth’s historical account from 1889, elephants were once present in northern Chhattisgarh and experienced local extinction throughout the early years of the 20th century (Singh, 2002). However, in recent decades, increasing anthropogenic pressure in the adjoining states has forced elephant to venture into the state of Chhattisgarh (Natarajan et al., 2023b). As reported, only 18 elephants moved into Chhattisgarh in 1988, but from 1998 onwards, the population gradually increased, reaching 247 individuals by 2017 (MoEF&CC, 2017). The incidence of human-elephant conflict has been on the rise since 2000 due to the steady increase in the number of migratory elephants entering Chhattisgarh (Singh, 2002). Presently, Chhattisgarh hosts an expanding metapopulation of 451 (Qureshi et al., 2021–2025). Asian elephants, occurring across fragmented forest-agriculture mosaics in the northern districts like Surguja, Korba, Raigarh, Jashpur with individual elephant utilising annual home ranges of around 3,000km2 (Natarajan et al., 2023b).
Study Area
The study was conducted in Chhattisgarh, India (Fig. 1), which lies between 17°46′N and 24°05′N latitude and 80°15′E and 84°20′E longitude. Chhattisgarh has a total geographical area of 135,192 km2, of which 55,547 km2 (41.09%) is under forest cover. It has a hot and humid tropical climate with three distinct seasons: summer (March to May), rainy (June to October), and winter (November to February). Summer temperatures range from 30◦C to 45◦C, while winter temperatures range from 8◦C to 25◦C. The region receives an average of 1,292 mm of rainfall each year, with the most precipitation happening in July and August months. Chhattisgarh can be geographically divided into three main zones: Northern Hills, Bastar Plateau, and Chhattisgarh Plains. The Northern Hills and Bastar Plateau areas are covered with natural forests, while Chhattisgarh Plains are primarily used for agriculture. The steep southwest sections of the Bastar Plateau are part of Central India’s Satpura hills, specifically the Maikal Range. Chhattisgarh’s forest cover comprises 12 distinct forest types, predominantly classified into two major categories: tropical moist deciduous forests and tropical dry deciduous forests (Champion & Seth, 1968). These forest types form the ecological backbone of the region, influencing biodiversity patterns, habitat availability, and ecosystem functions.
Methods
Data Analysis
The data of 218 elephant mortality cases over 23 years were collected from 19 divisional forest offices in Chhattisgarh, detailing incident locations, division name, date of the incidents, human fatalities and injuries (with gender). Surveys were conducted in conflict-affected villages, in collaboration with forest officials, to gather more precise and detailed information on incidents. For each mortality incidence, we standardised the categories of the data for: (1) the cause of death, (2) time of incident (year, month and season: monsoon, post-monsoon, summer and winter); (3) division-wise list; (4) age and demography of the dead elephant. The details of the causes of death were further recorded with additional classification (see Table 1). Elephant deaths brought by natural calamities and unprecedented accidents like drowning, lightning strikes, and falls from hills were included in accidental deaths. Age groups were categorised as calf (0-1 year), juveniles/yearlings (1-5 years), sub-adults male and female (6-15 years), and adult male and female (16+ years) (Arivazhagan & Sukumar, 2008).
Land use land cover change, and factors influencing elephant mortality
The satellite data spanned from 2000 to 2024 and were divided into five intervals: 2000–2005, 2005–2010, 2010–2015, 2015–2020, and 2020–2024. Land Use Land Cover (LULC) change analysis was performed using Landsat 5 TM and Landsat 8 OLI imagery, each with a spatial resolution of 30 m (Figure 2). Chhattisgarh falls within UTM Zone 46. Six bands (blue, green, red, NIR, and two SWIR) were used for classification, while the QA band was applied for cloud and shadow masking. We collected 1,250 random points for RF classifier training and validation, with 70% used for training and 30% for validation in each iteration. Accuracy assessment quantified classification effectiveness. Google Earth Engine (GEE) handled image

Figure 1. Map of Chhattisgarh State, India, showing forest cover and sampled districts. The map was created using ArcGIS Pro version 3.0.0 (https://www.esri.com/en-us/arcgis/products/arcgis-pro/overview).
Table 1. Causes of elephant deaths reported in the state of Chhattisgarh from 2000-2023


Figure 2. Flowchart of the methodology used to study the land use and land cover change pattern in the state of Chhattisgarh, India
processing and classification, while ArcGIS Pro was used for sub-setting, fragmentation analysis, distance calculations, and map preparation. A supervised pixel-based RF algorithm classified the Landsat dataset. The GEE was chosen for its robust accuracy and ability to handle large, high-dimensional datasets. RF classifiers applied to Landsat imagery in GEE effectively mapped five LULC categories: (1) forest, (2) water, (3) barren land, (4) agriculture, and (5) settlement. This study used the RF classifier from the “smileRandomForest” library. Using the forest cover class from the LULC maps, we extracted Patch Density (PD), Edge Density (ED), and Largest Patch Index (LPI) with FRAGSTATS v.4.2. A 7 km moving window analysis, based on the average movement of elephants (Hassan et al., 2023), was used to generate a continuous surface, ensuring ecologically relevant outcomes. The forest cover and fragmentation analyses in this study are based on remote sensing classification techniques and have not been field-verified due to the absence of ground reference points. Elephant death distribution was analysed with kernel density estimation in ArcGIS to identify mortality patterns across divisions and villages. Generalised linear models (GLMs) with a binomial distribution in R (version 4.3.1) were employed to predict the influence of ecogeographical and anthropogenic variables on elephant mortality incidents (excluding natural deaths). The occurrences of mortality were coded as 1, while pseudoabsence locations (coded as 0) were generated using a two-step approach: (i) generating random points using the “Create Random Points” tool in ArcGIS Pro, and (ii) removing any points located within 1 km of a mortality incident to ensure they represented non-mortality zones. A total of 84 pseudoabsence points were retained after this filtering.
The GLM analysis included 12 explanatory variables: distances to forests, croplands, built-up areas, roads, railways, mines, waterways, protected areas, and elephant reserves, along with edge density, patch density, and largest patch index from FRAGSTATS, based on various hypotheses (Table 2). Model performance was evaluated using AIC, with models having ΔAIC ≤ 2 considered well-supported (Burnham & Anderson, 2002). Model selection was conducted through univariate analyses assessing the significance of each predictor, followed by collinearity checks to remove highly correlated variables (VIF > 5). We then developed multiple candidate models and evaluated them using the Akaike Information Criterion (AIC), retaining models with ΔAIC ≤ 2. Likelihood ratio tests were applied to compare nested models and assess predictor significance. The final model was selected based on the lowest AIC value and retained only significant predictors, ensuring an optimal balance between explanatory power and parsimony. The “MuMIn” package in R was used for model ranking.
Village categorisation for elephant mortality
To assess elephant mortality distribution in Chhattisgarh, we categorised villages into three groups: low (0–10 deaths), medium (11–20 deaths), and high (more than 20 deaths). This classification helped identify environmental factors influencing mortality, such as forest percentage, crop percentage, mines percentage, water density, built-up percentage, and road and railway density. Understanding these patterns shall allow targeted mitigation efforts, focusing on high-risk areas for habitat restoration, conflict management, and infrastructure improvements.
Results
Land use land cover
The land use and land cover (2000 – 2024) changed in forest cover, water bodies, barren land, cropland, and built-up areas (Fig.3). There has been a change of -7.26% in forest cover, with a change observed in 2005 (-2.47%), 2010 (-5.84%), 2020 (-1.02%), and 2024 (-1.76%). Urbanisation has shown an upward trend (Supplementary Table 1). The fragmentation analysis showed a high fragmentation in the northern and eastern regions of Chhattisgarh, with high edge density and patch density. Eastern areas have better forest connectivity with large continuous patches. The highly fragmented central part of Chhattisgarh faces a high risk of human elephant conflict (SF2).
Temporal and age demography
The long-term conflict records spanning over 23 years in Chhattisgarh resulted in a total of 218 elephant deaths attributed to multiple causes. Out of these, 134 were non-anthropogenic deaths, including natural cases (115 deaths), unknown (13 deaths), territorial fight (7 deaths) (SF1). While 84 anthropogenic causes included electrocution (76 deaths), poisoning (5 deaths), poaching (2 deaths), retaliatory killing (1 death), and vehicular accident (1 death). Electrocution emerged as the key reason for the elephant deaths, out of the
Table 2. Factors Influencing Elephant Mortality in Chhattisgarh: A Priori Hypotheses



Figure 3. Land use land cover (LULC) maps of Chhattisgarh state, India, for the years 2000, 2005, 2010, 2015, 2020, and 2024. The maps were created using ArcGIS Pro version 3.0.0 (https://www.esri.com/en-us/arcgis/products/arcgis-pro/overview).
anthropogenic causes (χ² = 11.468, df = 1, p-value = 0.001; Fig. 4). The number of death cases due to anthropogenic causes differed significantly across age and groups (χ² = 118.59, df = 5, p-value < 2.2e-16), with adult males having the highest numbers of deaths (35), followed by adult female (17), sub adult male (13), sub adult female (4), yearling (5) (Fig. 5). Among seasons, elephant deaths mostly occurred in monsoon season (26 deaths) (χ² = 5.101, df =3, p = 0.164), followed by post monsoon (20), winter (21) and the least deaths occurred in pre monsoon (12). Divisional variation showed that the highest elephant mortalities were observed in Dharamjaigarh (33 cases), with the most deaths occurring because of electrocution (33 cases), followed by Raigarh (11 cases; 8 electrocution cases), Jashpur (10; all electrocution cases), and Surajpur (9; all electrocution cases) (SF3). Kernel density estimation of the mortality represents the same (Fig.6).
Village-level analysis of elephant mortality and its influencing factors
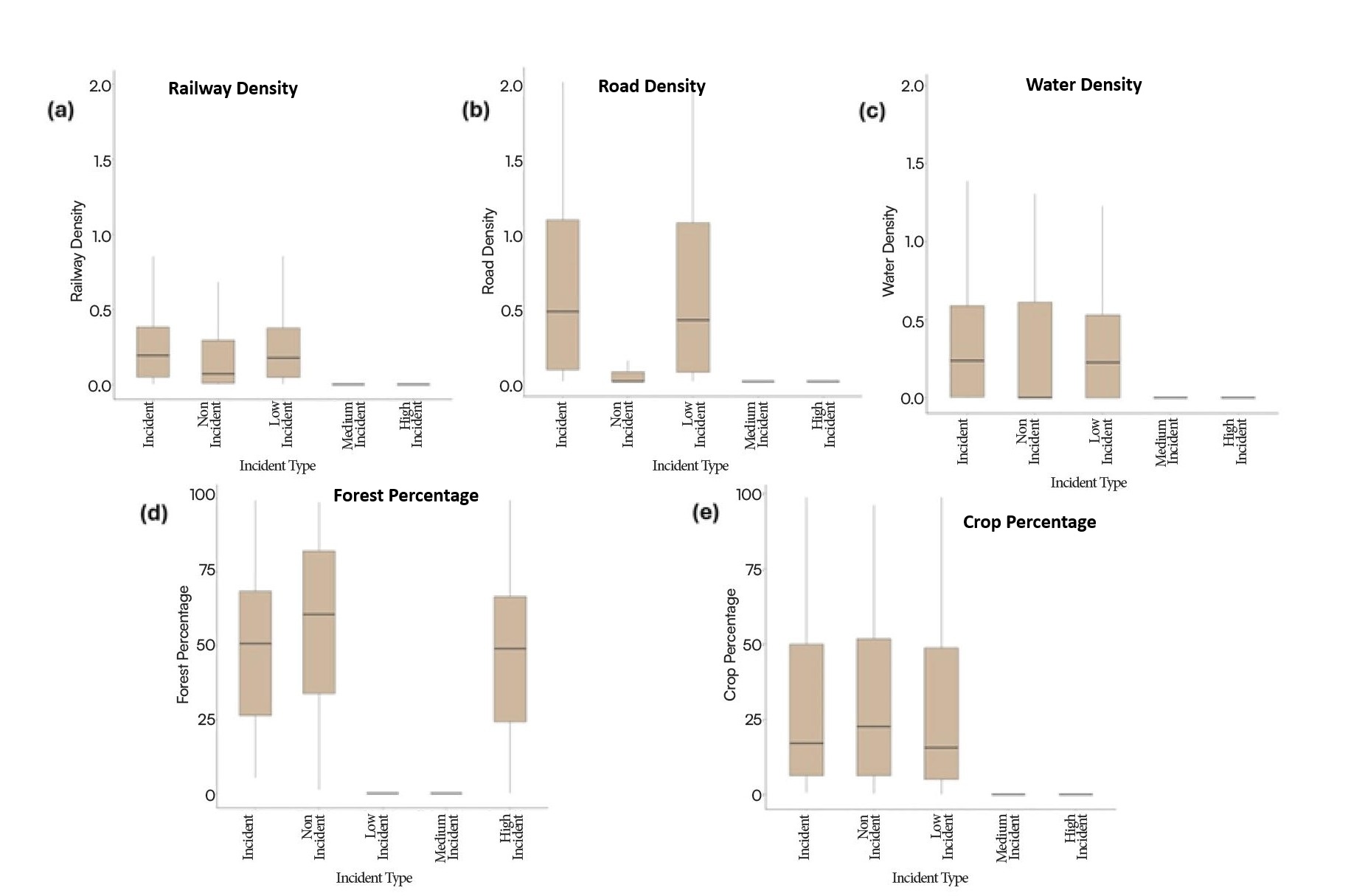
A total of 48 villages were identified where elephant mortality has occurred, with the most cases in Dharamjaigarh (15 deaths), followed by Chhal (10 deaths), Amandon and Goreapipar (4 deaths each), and Katghora and Raigarh (3 deaths each). High-incident villages had greater built-up density, while non-incident villages showed the lowest levels (Kruskal-Wallis Test: χ² = 8.8701, p = 0.0310). Water sources remained relatively stable across all village categories (χ² = 7.981, p = 0.0463). Cropland cover was substantially higher in high-fatality villages (χ² = 9.236, p = 0.02631; Figure 7). Post-hoc Dunn’s test revealed specific pairwise differences (Table 3). The road density (χ² = 7.1148, p = 0.06833) approached significance, suggesting a potential trend but not meeting the conventional threshold.

Figure 4. Temporal trends of elephant mortality 2000 to 2023 in Chhattisgarh, India

Figure 5. Age demography of elephants and its relation to different causes of mortality in Chhattisgarh, India (2000-2023)
Elephants’ deaths were significantly influenced by habitat and human-induced factors, distance to cropland (β = -1.237, p = 0.016), and distance to elephant reserves (β = -1.357, p = 0.001). Additionally, landscape features like the largest patch index (β = -0.984, p = 0.001) and edge density (β = -0.676, p = 0.009) showed significant negative relationships. Distance to built-up areas (β = -0.461, p = 0.074) and distance to mines (β = -0.510, p = 0.064) were marginally significant. Distance to forest (β = 0.487, p = 0.031), distance to protected areas (β = 0.364, p = 0.182) showed a positive trend. Distance to water (β = -0.607, p = 0.096), distance to roads (β = -0.133, p = 0.594) did not exhibit significant relationships with mortality risk (Table 4 & 5, Fig.8).
Discussion
Our study on land use land cover highlights that deforestation and conversion of cropland to built-up areas over the last two decades could be one of the drivers of rising HEC in Chhattisgarh. The rapid expansion of coal mining, urbanisation, and linear infrastructure has fragmented critical elephant habitats and disrupted elephant movement pathways (Khan et al., 2016). The east-central region, particularly Chhattisgarh, has the highest number of identified elephant corridors in India, totalling 52 (Pandey et al., 2024), highlighting the extensive fragmentation of this landscape.
The situation is exacerbated by habitat mosaic complexity, mining expansion, and rapid infrastructure growth, leading to increased encounters and conflict-related mortalities (Natarajan et al., 2023b). A significant portion of elephant range lies outside Protected Areas, in fragmented, human-dominated landscapes where the interspersion of forests and croplands heightens conflict intensity. Sustainable land-use planning is both an ecological and socio-political necessity to ensure the conservation of elephants and the safety and livelihoods of local communities (Pandey et al., 2024). LULC changes in Chhattisgarh reflect significant human-driven transformations, with a decline in forest cover, particularly in Korba and Raigarh, driven by expanding coal mines and urbanisation (Bhagat et al., 2024). Deforestation threatens biodiversity, disrupts carbon sequestration, and reduces water availability, while the conversion of cropland into built-up areas raises concerns about food security (Khan et al., 2016). Urbanisation, driven by population and economic growth, demands better land-use planning to balance development and sustainability. Similar trends have been observed in the Mahanadi River basin, with projections indicating a decline in grassland and an increase in croplands (Sahu et al., 2024). Rapid urban expansion in Raipur has further contributed to the conversion of agricultural and open lands into built-up areas (Khan et al., 2016). Henceforth, implementing sustainable land management strategies remains critical to address these emerging challenges effectively.

Figure 6. Hotspots of elephant deaths in Chhattisgarh State, India, from 2000 to 2023. The map was created using the kernel density tool in ArcGIS Pro version 3.0.0 (https://www.esri.com/en-us/arcgis/products/arcgis-pro/overview).
Table 3. Post hoc Dunn’s Test for Significant Kruskal-Wallis Results
Table 4. Summary statistics, log-likelihood (LogL), degrees of freedom (df), Akaike Information Criteria (AICc), relative support for hypothesis (Δ AICc), Akaike weights (Wi) of the candidate regression model explaining elephant mortality in Chhattisgarh.
Table 5. Parameter estimates effect (β) and probabilities of ecological and anthropogenic variables in determining the mortality of the Asian elephant due to various anthropogenic factors


Figure 7. Box plot showing the built-up density, road density, railway density, crop percentage, forest percentage and mining percentage in non-incident, low-incident, medium-incident and high-incident villages in Chhattisgarh, India.

Figure 8. Graphs showing the probability prediction of elephant mortality in relation to the different selected variables in Chhattisgarh, India.
Furthermore, our findings highlight electrocution as the predominant cause of elephant mortality across divisions (in Chhattisgarh), particularly in areas with extensive electrical infrastructure. The concentration of fatalities in Dharamjaigarh, Raigarh, Jashpur, and Surajpur suggests a strong link between illegal fencing using distribution lines and, to some extent, sagging of power lines. Similar patterns have been reported elsewhere in India, where expanding settlements and poorly managed electrical networks heighten electrocution risk (Baskaran et al., 2013; Gubbi et al., 2014; LaDue et al., 2012; Sangma et al. 2025). The highest number of elephant deaths due to electrocution reported from Dharamjaigargh could be linked to the widespread deployment of illegal electrical fencing surrounding agricultural fields in the area. A similar trend is also seen in other elephant landscapes in Tamil Nadu and Karnataka (Ladue et al., 2012; Gubbi et al., 2014).
Our study also showed that adult males experience the highest anthropogenic mortality, consistent with patterns observed in northern West Bengal (Roy et al., 2017). This greater vulnerability is linked to male behaviour during musth, when they frequently enter human settlements or move along railway tracks, increasing the likelihood of fatal encounters. Habitat encroachment and expanding agriculture further compel elephants to forage in croplands, particularly during harvest seasons when raids peak (Pradhan et al., 2013; Palei et al., 2014). The loss of mature elephants, particularly socially dominant individuals such as matriarchs, can disrupt herd structure, cohesion, and decision-making (Douglas-Hamilton et al., 2006). Adult elephants play a critical role in transmitting survival skills and guiding herd behaviour, and their absence can result in unpredictable behaviour, increased intra-herd aggression, and elevated human–elephant conflict. Studies have also shown that herds affected by culling or adult mortality exhibit social instability, whereas stable herds with intact social systems maintain cohesive interactions (Shannon et al., 2013).
The current study showed that elephant mortality in Chhattisgarh was primarily influenced by both ecological and anthropogenic factors, consistent with earlier research on habitat fragmentation and human activity (Singh, 2002; Roy et al., 2025). Across Asia and Africa, studies have linked habitat loss, fragmentation, and natural factors to increased elephant mortality and human-elephant conflict (Ladue et al., 2021; Moeng et al., 2022; Yu et al., 2024). Agricultural expansion and urbanisation were key drivers of mortality, intensifying conflict as elephants were drawn to high-energy crops (Baskaran et al., 2013; Shaffer et al., 2019). Landscape metrics such as edge density (ED) and largest patch index (LPI) underscored the influence of habitat configuration, while distance to protected areas and water sources was less relevant due to elephants’ wide-ranging movements. Infrastructure development, particularly mining and railways, posed emerging threats, with impacts varying by region (Chakraborty et al., 2021). The near-significant link between road networks and mortality suggests that expanding infrastructure in elephant habitats could further elevate risks (Laurance et al., 2009; Vanak et al., 2010).
Conclusion
Over the past two decades, the elephant population in Chhattisgarh has increased, intensifying human–elephant conflicts driven by habitat loss, fragmentation, and electrocution. Major mortality hotspots such as Dharamjaigarh, Chhal, Amandon, Goreapipar, Katghora, Kunkri, and Raigarh highlight the urgent need to restore habitat connectivity and manage human activities. High-risk zones where elephants encounter power lines require immediate action, including insulation and elevation of lines to 6–7 meters and regular maintenance. Promoting solar power can further reduce dependence on high-voltage infrastructure.
Habitat restoration, corridor maintenance, and early warning systems are key to minimising conflict. Community initiatives such as “Elephant Watch Groups,” compensation programs, and awareness campaigns can foster coexistence and reduce retaliation. Infrastructure measures like underpasses and overpasses, aligned with Wildlife Institute of India guidelines, ensure safe elephant movement across fragmented landscapes.
Technological innovations including AI-based predictive models, drones, satellite tracking, and smart collars with geofencing are transforming elephant management. Tools like the Gaj Sanket alert system, Elephant Tracking and Alert App, and Hathi Mitra Dal groups (Telegraph India, 2023; Down To Earth, 2022) have enabled real-time alerts and rapid response (The Hitavada 2022). Collaborative efforts with Kalpvaig app have generated over two million alerts across 14 divisions, engaging 20,000 villagers and 5,000 officials, contributing to zero human casualties in Udanti–Sitanadi TR (Times of India 2024; NDTV, 2024).
Overall, integrating scientific tools, community engagement, and policy support provides a robust framework for mitigating human–elephant conflict. Sustained research, adaptive management, and technology-driven conservation are essential to ensure long-term coexistence between people and elephants in Chhattisgarh.
TO DOWNLOAD SUPPLEMENTARY MATERIAL CLICK HERE.
Acknowledgement
We are grateful for the support and guidance provided by the Dean, Director, and Registrar of the Wildlife Institute of India throughout the completion of this work. Our heartfelt thanks also go to the Forest Department of Chhattisgarh, the Principal Chief Conservator of Forests (PCCF), the Additional Chief Conservator of Forests (ACF), the Divisional Forest Officers (DFOs) of each division, and the respective Range Officers for their invaluable assistance during the study. We are thankful to the Project Elephant Division of MoEFCC for finding this project and Elephant Cell, WII for necessary support.
CONFLICT OF INTEREST
Bilal Habib & Parag Nigam hold editorial positions at the Journal of Wildlife Science. However, none of them participated in the peer review process of this article except as authors. The authors declare no other conflict of interest.
DATA AVAILABILITY
The data used in the study are available upon request from the corresponding author
AUTHORS’ CONTRIBUTION
Bilal Habib: Conceptualization (lead); Funding acquisition (lead); Investigation (lead); Methodology (lead); Project administration (lead); Resources (lead); Software (lead); Supervision (lead); Validation (lead); Visualization (lead); Writing-review & editing (lead). Ramesh Kumar Pandey: Conceptualization (lead); Funding acquisition (lead); Investigation (lead); Methodology (lead); Project administration (lead); Resources (lead); Supervision (lead); Validation (lead); Visualization (lead); Writing-review & editing (lead). Kalpana Roy: Data curation (equal); Formal analysis (equal); Methodology (equal); Writing-original draft (equal); Writing-review & editing (equal). Athira N. G: Data curation (equal); Formal analysis (equal); Methodology (equal); Writing-original draft (equal); Writing-review & editing (equal). Ananya Dutta: Data curation; Formal analysis; Methodology; Dheeraj Mittal: Data curation (equal); Investigation (equal); Methodology (equal); Resources (equal); Validation (equal); Writing-review & editing (equal). Parag Nigam: Data curation (equal); Investigation (equal); Methodology (equal); Resources (equal); Validation (equal); Writing-review & editing (equal). Anukul Nath: Data curation (equal); Investigation (equal); Formal analysis (lead), Methodology (equal); Resources (equal); Validation (equal); Writing-review & editing (equal).
Edited By
Honnavalli Kumara
Salim Ali Centre for Ornithology and Natural History, Tamil Nadu.
*CORRESPONDENCE
Dr. Bilal Habib
✉ bh@wii.gov.in
SPECIAL ISSUE
This paper is published in the Special Issue '30 Years of Elephant Conservation in India'
CITATION
Pandey, R. K., Athira, N. G., Roy, K., Dutta, A., Mittal, D., Nigam, P., Nath, A. & Habib, B. (2025). Truncated Life: Patterns and Causes of Elephant Mortality in the state of Chhattisgarh, India. Journal of Wildlife Science, Online Early Publication, 01-13. https://doi.org/10.63033/JWLS.WNKA3460
FUNDING
Project Elephant, Ministry of Environment, Forest and Climate Change, Govt. of India
COPYRIGHT
© 2025 Pandey, Athira, Roy, Dutta, Mittal, Nigam, Nath & Habib. This is an open-access article, immediately and freely available to read, download, and share. The information contained in this article is distributed under the terms of the Creative Commons Attribution License (CC BY 4.0), allowing for unrestricted use, distribution, and reproduction in any medium, provided the original work is properly cited in accordance with accepted academic practice. Copyright is retained by the author(s).
PUBLISHED BY
Wildlife Institute of India, Dehradun, 248 001 INDIA
PUBLISHER'S NOTE
The Publisher, Journal of Wildlife Science or Editors cannot be held responsible for any errors or consequences arising from the use of the information contained in this article. All claims expressed in this article are solely those of the author(s) and do not necessarily represent those of their affiliated organisations or those of the publisher, the editors and the reviewers. Any product that may be evaluated or used in this article or claim made by its manufacturer is not guaranteed or endorsed by the publisher.
Anand, S. & Radhakrishna, S. (2017). Investigating trends in human-wildlife conflict: is conflict escalation real or imagined? Journal of Asia-Pacific Biodiversity, 10(2), 154–161. https://doi.org/10.1016/j.japb.2017.02.003
Arivazhagan, C. & Sukumar, R. (2008). Constructing Age Structures of Asian Elephant Populations: A Comparison of Two Field Methods of Age Estimation. Gajah, 29, 11–16.
Baskaran, N., Kannan, G., Anbarasan, U., Thapa, A. & Sukumar, R. (2013). A landscape-level assessment of Asian elephant habitat, its population and elephant-human conflict in the Anamalai hill ranges of southern Western Ghats, India. Mammalian Biology, 78(6), 470–481. https://doi.org/10.1016/j.mambio.2013.04.007
Baskaran, N., Varma, S., Kumar Sar, C. & Sukumar, R. (2011). Current Status of Elephants in India. Gajah, 35, 47-54.
Bhagat, S. & Prasad, P. R. C. (2024). Assessing the impact of spatio-temporal land use and land cover changes on land surface temperature, with a major emphasis on mining activities in the state of Chhattisgarh, India. Spatial Information Research, 32(3), 339–355. https://doi.org/10.1007/s41324-023-00563-9
Bhagat, V. K., Yadav, D. K. & Jhariya, M. K. (2017). Human-Elephant Conflict and Its Consequences: A Preliminary Appraisal and Way Forward. Bulletin of Environment, Pharmacology and Life Sciences, 6(7), 85–94.
Billah, M. M., Rahman, M. M., Abedin, J. & Akter, H. (2021). Land cover change and its impact on human–elephant conflict: a case from Fashiakhali forest reserve in Bangladesh. SN Applied Sciences, 3(6), 1–17. https://doi.org/10.1007/s42452-021-04625-1
Burnham, K. P. & Anderson, D. R. (2002). Model Selection and Multimodel Inference: A Practical Information-Theoretic Approach (2nd Ed). Springer New York, NY. p. XXVI, 488. https://doi.org/10.1007/b97636
Calabrese, A., Calabrese, J. M., Songer, M., Wegmann, M., Hedges, S., Rose, R. & Leimgruber, P. (2017). Conservation status of Asian elephants: the influence of habitat and governance. Biodiversity and Conservation, 26(9), 2067–2081. https://doi.org/10.1007/s10531-017-1345-5
Chakraborty, S. & Paul, N. (2021). Efficacy of different human-elephant conflict prevention and mitigation techniques practiced in West Bengal, India. Notulae Scientia Biologicae, 13(3), 11017. https://doi.org/10.15835/nsb13311017
Champion, H. G. and Seth, S. K. (1968). A Revised Survey of Forest Types of India, Govt. of India Press, New Delhi, p.404.
Debata, S., Badola, R., Sahu, H. K., Rout, S. & Mishra, R. K. (2013). Land Sharing Patterns of Asian Elephants with Humans in the Hadgarh-Kuldiha Elephant Corridor, Odisha, India. Gajah, 39, 30–33.
de Silva, S., Wu, T., Nyhus, P., Weaver, A., Thieme, A., Johnson, J., Wadey, J., Mossbrucker, A., Vu, T. et al. (2023). Land-use change is associated with multi-century loss of elephant ecosystems in Asia. Scientific Reports, 13(1), 1–14. https://doi.org/10.1038/s41598-023-30650-8
Douglas-Hamilton, I., Bhalla, S., Wittemyer, G. & Vollrath, F. (2006). Behavioural reactions of elephants towards a dying and deceased matriarch. Applied Animal Behaviour Science, 100(1-2), 87-102. https://doi.org/10.1016/j.applanim.2006.04.014
Down To Earth (2022) ‘Hathi Mitras: Chhattisgarh’s solution to tackling human-elephant conflict’. Available at: https://www.downtoearth.org.in/wildlife-biodiversity/hathi-mitras-chhattisgarh-s-solution-to-tackling-human-elephant-conflict-82728
Gubbi, S., Swaminath, M. H., Poornesha, H. C., Bhat, R. & Raghunath, R. (2014). An elephantine challenge: human-elephant conflict distribution in the largest Asian elephant population, southern India. Biodiversity and Conservation, 23(3), 633–647. https://doi.org/10.1007/s10531-014-0621-x
Habib, B., Pandey, R., Nath, A., Nigam, P., Ganesan, A., Roy, K. & Dutta, A. (2025). Elephant-human conflict in the state of Chhattisgarh (2000-2023): Trends, Challenges and Insights. TR No./2025/04. Wildlife Institute of India & Project Elephant Division, Ministry of Environment, Forest and Climate Change, Government of India. p.60.
Hassan, N. H. N., Abdullah, N. M., Norazlimi, N. A., Saaban, S., and Yazi, M. F. A. (2023). Distribution and ranging area of elephant in Simpan Panti Forest, Kota Tinggi, Johor, Malaysia. Biodiversitas Journal of Biological Diversity, 24, 5731–5738. https://doi.org/10.13057/BIODIV/D241055
Jarungrattanapong, R. & Olewiler, N. (2024). Ecosystem management to reduce human–elephant conflict in Thailand. Environment, Development and Sustainability, 27, 15005–15024. https://doi.org/10.1007/s10668-024-04485-w
Khan, R. & Jhariya, D. C. (2016). Land Use Land Cover Change Detection Using Remote Sensing and Geographic Information System in Raipur Municipal Corporation Area, Chhattisgarh. International Journal of Geo Science and Geo Informatics, 3(1), 2348-6198.
Köpke, S., Withanachchi, S. S., Chinthaka Perera, E. N., Withanachchi, C. R., Gamage, D. U., Nissanka, T. S., Warapitiya, C. C., Nissanka, B. M., Ranasinghe, N. N. et al. (2024). Factors driving human–elephant conflict: statistical assessment of vulnerability and implications for wildlife conflict management in Sri Lanka. Biodiversity and Conservation, 33(11), 3075–3101. https://doi.org/10.1007/s10531-024-02903-z
Ladue, C. A., Eranda, I., Jayasinghe, C. & Vandercone, R. P. G. (2012). Mortality Patterns of Asian Elephants in a Region of Human-Elephant Conflict. The Journal of Wildlife Management, 85(4), 794–802. https://doi.org/10.1002/jwmg.22012
LaDue, C.A., Farinelli, S.M., Eranda, I., Jayasinghe, C. and Vandercone, R.P., (2021). The influence of habitat changes on elephant mortality associated with human–elephant conflict: identifying areas of concern in the north central dry zone of Sri Lanka. Sustainability, 13(24), p.13707.
Laurance, W. F., Goosem, M. & Laurance, S. G. W. (2009). Impacts of roads and linear clearings on tropical forests. Trends in Ecology & Evolution, 24(12), 659–669. https://doi.org/10.1016/j.tree.2009.06.009
Ministry of Environment, Forest and Climate Change (MoEFCC). (2017). All India Synchronized Elephant Population Estimation, 2017. Project Elephant Division, Government of India, New Delhi.
Moeng, L. B. & Basupi, V. (2022). Impacts of landscape fragmentation on human-elephant interaction in the Chobe Enclave. Master's thesis. Botswana International University of Science and Technology, Botswana.
Montez, D. & Leng, A. (2021). Status of Asian elephant and Human-elephant conflict (HEC) in Asia: A brief and updated review. Journal of Nature and Applied Research, 1(1), 28-35. https://ssrn.com/abstract=3934782
Natarajan, L., Kumar, A., Nigam, P. & Pandav, B. (2023a). An Overview of Elephant Demography in Chhattisgarh (India): Implications for Management. Journal of the Bombay Natural History Society, 120(1), 3–12. https://doi.org/10.17087/jbnhs/2023/v120/167989
Natarajan, L., Nigam, P. & Pandav, B. (2023b). Impacts of passive elephant rewilding: assessment of human fatalities in India. Environmental Conservation, 50(3), 186–191. https://doi.org/10.1017/S0376892923000115
Natarajan, L., Nigam, P. & Pandav, B. (2025). Human–elephant conflict in expanding Asian elephant range in east-central India: implications for conservation and management. Oryx, 1–9. https://doi.org/10.1017/S0030605324000930
NDTV (2024) ‘India’s Elephant Warning System Tackles Deadly Conflict’. Available at: https://www.ndtv.com/india-news/indias-elephant-warning-system-tackles-deadly-conflict-8193046
Palei, N. C., Palei, H. S., Rath, B. P. & Kar, C. S. (2014). Mortality of the Endangered Asian elephant Elephas maximus by electrocution in Odisha, India. Oryx, 48(4), 602–604. https://doi.org/10.1017/S003060531400012X
Pandey, R. K., Lakshminarayanan, N., Mittal, D., Udhayaraj, A. D., Selvin, K. M., Gupta, D. K., Kumar, R. & Tiwari, V. R., Yadav, S. et al (2024). On the Pan-India assessment of elephant corridors: Challenges, opportunities and future directions. Indian Forester, 150(10), 909–915. https://doi.org/10.36808/if/2024/v150i10/170626
Pandey, R. K., Yadav, S. P., Selvan, K. M., Natarajan, L. & Nigam, P. (2024). Elephant conservation in India: Striking a balance between coexistence and conflicts. Integrative Conservation, 3(1), 1–11. https://doi.org/10.1002/inc3.38
Pradhan, R. N., Behera, P. & Mishra, S. R. (2013). Man-Elephant Conflict: Case Study from Angul Forest Division, Odisha, India. International Research Journal of Environmental Sciences, 2(11), 106–110. https://www.isca.me/IJENS/Archive/v2/i11/15.ISCA-IRJEvS-2013-190.pdf
Qureshi, Q., Kolipakam, V., Kumar, U., Jhala, Y.V., Pandey, R.K., Habib, B., Bhardwaj, G.S., Yadav, S.P. & Tiwari, V.R. (2025) Status of Elephants in India: DNA-based Synchronous All-India Population Estimation of Elephants (SAIEE 2021–2025). Dehradun: Wildlife Institute of India. ISBN 81-85496-85-4.
Roy, K., Pandey, R.K., Athira, N.G. et al. Long-term trends in human fatalities from human–elephant conflict in Chhattisgarh, India. Scientific Reports, 15, 27360 (2025). https://doi.org/10.1038/s41598-025-13005-3
Roy, M. & Sukumar, R. (2017). Railways and wildlife: A case study of train-elephant collisions in Northern West Bengal, India. In: Borda-de-Água, L., Barrientos, R., Beja, P. & Pereira. H. M. (eds.). Railway Ecology. pp.157–177. https://doi.org/10.1007/978-3-319-57496-7_10
Sahu, G. & Vidyarthi, V. K. (2024). Modeling land use/land cover transformations in Mahanadi River basin in Chhattisgarh, India: trends and future projections. GeoJournal, 89(4), 1–14. https://doi.org/10.1007/s10708-024-11152-0
Sangma, R., Ahmad, A., Pandey, R. K., Mittal, D., George, A. M., Barman, D., Basumatary, R., Nigam, P., Habib, B., & Nath, A. (2025). Living on the Edge: Assessing spatio-temporal dynamics of Human-Elephant Interactions in Udalguri, Assam. Journal of Wildlife Science, 2(2), 53-61. https://doi.org/10.63033/JWLS.GXXB2262
Shaffer, L. J., Khadka, K. K., Van Den Hoek, J. & Naithani, K. J. (2019). Human-elephant conflict: A review of current management strategies and future directions. Frontiers in Ecology and Evolution, 6(1), 411066. https://doi.org/10.3389/fevo.2018.00235
Shameer, T. T., Routray, P., Udhayan, A., Ranjan, N., Ganesan, M. G., Manimozhi, A. & Vasanthakumari, D. (2024). Understanding the patterns and predictors of human-elephant conflict in Tamil Nadu, India. European Journal of Wildlife Research, 70(5), 1–19. https://doi.org/10.1007/s10344-024-01848-6
Shannon, G., Slotow, R., Durant, S. M., Sayialel, K. N., Poole, J., Moss, C. & McComb, K. (2013). Effects of social disruption in elephants persist decades after culling. Frontiers in Zoology, 10, 62. https://doi.org/10.1186/1742-9994-10-62
Singh, R. K. (2002). Elephants in exile: A Rapid Assessment of the Human-Elephant Conflict in Chhattisgarh. 5.
Sims, P., Holth, J. & Dillon, A. (2015). Beyond ivory: Asian elephants in crisis. World Elephant Day. https://www.worldelephantday.org/assets/Beyond%20Ivory_Asian%20Elephants%20In%20Crisis.pdf [Accessed on 20-09-2025]
The Hitvada (2023). Chhattisgarh’s initiative to mitigate human-elephant conflict via ‘App’. https://www.thehitavada.com/Encyc/2023/8/12/Chhattisgarh-s-initiative-to-mitigate-human-elephant-conflict-via-App-.html (Accessed on 30 September 2025)
The Telegraph Online (2023). Chhattisgarh: State government initiates high-tech tracking of elephant movement to avoid human-elephant conflict. Telegraph India. https://www.telegraphindia.com/india/chhattisgarh-state-government-initiates-high-tech-tracking-of-elephant-movement-to-avoid-human-elephant-conflict/cid/1943192 (Accessed on 20 April 2025)
Times of India. (2024). Elephant Conservation: Chhattisgarh’s Efforts to Prevent Human-Elephant Conflicts Highlighted by CM. Raipur News - Times of India. https://timesofindia.indiatimes.com/city/raipur/chhattisgarhs-efforts-to-prevent-human-elephant-conflicts-highlighted-by-cm/articleshow/112507810.cms(Accessed on 20 August 2025)
Vanak, A. T., Thaker, M. & Slotow, R. (2010). Do fences create an edge-effect on the movement patterns of a highly mobile mega-herbivore? Biological Conservation, 143(11), 2631–2637. https://doi.org/10.1016/j.biocon.2010.07.005
Wilson, S., Davies, T. E., Hazarika, N. & Zimmermann, A. (2015). Understanding spatial and temporal patterns of human–elephant conflict in Assam, India. Oryx, 49(1), 140–149. https://doi.org/10.1017/S0030605313000513
Yu, Q., Hu, Z., Huang, C., Xu, T., Onditi, K.O., Li, X. and Jiang, X., (2024). Suitable habitats shifting toward human-dominated landscapes of Asian elephants in China. Biodiversity and Conservation, 33(2), pp.685-704.
Edited By
Honnavalli Kumara
Salim Ali Centre for Ornithology and Natural History, Tamil Nadu.
*CORRESPONDENCE
Dr. Bilal Habib
✉ bh@wii.gov.in
SPECIAL ISSUE
This paper is published in the Special Issue '30 Years of Elephant Conservation in India'
CITATION
Pandey, R. K., Athira, N. G., Roy, K., Dutta, A., Mittal, D., Nigam, P., Nath, A. & Habib, B. (2025). Truncated Life: Patterns and Causes of Elephant Mortality in the state of Chhattisgarh, India. Journal of Wildlife Science, Online Early Publication, 01-13. https://doi.org/10.63033/JWLS.WNKA3460
FUNDING
Project Elephant, Ministry of Environment, Forest and Climate Change, Govt. of India
COPYRIGHT
© 2025 Pandey, Athira, Roy, Dutta, Mittal, Nigam, Nath & Habib. This is an open-access article, immediately and freely available to read, download, and share. The information contained in this article is distributed under the terms of the Creative Commons Attribution License (CC BY 4.0), allowing for unrestricted use, distribution, and reproduction in any medium, provided the original work is properly cited in accordance with accepted academic practice. Copyright is retained by the author(s).
PUBLISHED BY
Wildlife Institute of India, Dehradun, 248 001 INDIA
PUBLISHER'S NOTE
The Publisher, Journal of Wildlife Science or Editors cannot be held responsible for any errors or consequences arising from the use of the information contained in this article. All claims expressed in this article are solely those of the author(s) and do not necessarily represent those of their affiliated organisations or those of the publisher, the editors and the reviewers. Any product that may be evaluated or used in this article or claim made by its manufacturer is not guaranteed or endorsed by the publisher.
Anand, S. & Radhakrishna, S. (2017). Investigating trends in human-wildlife conflict: is conflict escalation real or imagined? Journal of Asia-Pacific Biodiversity, 10(2), 154–161. https://doi.org/10.1016/j.japb.2017.02.003
Arivazhagan, C. & Sukumar, R. (2008). Constructing Age Structures of Asian Elephant Populations: A Comparison of Two Field Methods of Age Estimation. Gajah, 29, 11–16.
Baskaran, N., Kannan, G., Anbarasan, U., Thapa, A. & Sukumar, R. (2013). A landscape-level assessment of Asian elephant habitat, its population and elephant-human conflict in the Anamalai hill ranges of southern Western Ghats, India. Mammalian Biology, 78(6), 470–481. https://doi.org/10.1016/j.mambio.2013.04.007
Baskaran, N., Varma, S., Kumar Sar, C. & Sukumar, R. (2011). Current Status of Elephants in India. Gajah, 35, 47-54.
Bhagat, S. & Prasad, P. R. C. (2024). Assessing the impact of spatio-temporal land use and land cover changes on land surface temperature, with a major emphasis on mining activities in the state of Chhattisgarh, India. Spatial Information Research, 32(3), 339–355. https://doi.org/10.1007/s41324-023-00563-9
Bhagat, V. K., Yadav, D. K. & Jhariya, M. K. (2017). Human-Elephant Conflict and Its Consequences: A Preliminary Appraisal and Way Forward. Bulletin of Environment, Pharmacology and Life Sciences, 6(7), 85–94.
Billah, M. M., Rahman, M. M., Abedin, J. & Akter, H. (2021). Land cover change and its impact on human–elephant conflict: a case from Fashiakhali forest reserve in Bangladesh. SN Applied Sciences, 3(6), 1–17. https://doi.org/10.1007/s42452-021-04625-1
Burnham, K. P. & Anderson, D. R. (2002). Model Selection and Multimodel Inference: A Practical Information-Theoretic Approach (2nd Ed). Springer New York, NY. p. XXVI, 488. https://doi.org/10.1007/b97636
Calabrese, A., Calabrese, J. M., Songer, M., Wegmann, M., Hedges, S., Rose, R. & Leimgruber, P. (2017). Conservation status of Asian elephants: the influence of habitat and governance. Biodiversity and Conservation, 26(9), 2067–2081. https://doi.org/10.1007/s10531-017-1345-5
Chakraborty, S. & Paul, N. (2021). Efficacy of different human-elephant conflict prevention and mitigation techniques practiced in West Bengal, India. Notulae Scientia Biologicae, 13(3), 11017. https://doi.org/10.15835/nsb13311017
Champion, H. G. and Seth, S. K. (1968). A Revised Survey of Forest Types of India, Govt. of India Press, New Delhi, p.404.
Debata, S., Badola, R., Sahu, H. K., Rout, S. & Mishra, R. K. (2013). Land Sharing Patterns of Asian Elephants with Humans in the Hadgarh-Kuldiha Elephant Corridor, Odisha, India. Gajah, 39, 30–33.
de Silva, S., Wu, T., Nyhus, P., Weaver, A., Thieme, A., Johnson, J., Wadey, J., Mossbrucker, A., Vu, T. et al. (2023). Land-use change is associated with multi-century loss of elephant ecosystems in Asia. Scientific Reports, 13(1), 1–14. https://doi.org/10.1038/s41598-023-30650-8
Douglas-Hamilton, I., Bhalla, S., Wittemyer, G. & Vollrath, F. (2006). Behavioural reactions of elephants towards a dying and deceased matriarch. Applied Animal Behaviour Science, 100(1-2), 87-102. https://doi.org/10.1016/j.applanim.2006.04.014
Down To Earth (2022) ‘Hathi Mitras: Chhattisgarh’s solution to tackling human-elephant conflict’. Available at: https://www.downtoearth.org.in/wildlife-biodiversity/hathi-mitras-chhattisgarh-s-solution-to-tackling-human-elephant-conflict-82728
Gubbi, S., Swaminath, M. H., Poornesha, H. C., Bhat, R. & Raghunath, R. (2014). An elephantine challenge: human-elephant conflict distribution in the largest Asian elephant population, southern India. Biodiversity and Conservation, 23(3), 633–647. https://doi.org/10.1007/s10531-014-0621-x
Habib, B., Pandey, R., Nath, A., Nigam, P., Ganesan, A., Roy, K. & Dutta, A. (2025). Elephant-human conflict in the state of Chhattisgarh (2000-2023): Trends, Challenges and Insights. TR No./2025/04. Wildlife Institute of India & Project Elephant Division, Ministry of Environment, Forest and Climate Change, Government of India. p.60.
Hassan, N. H. N., Abdullah, N. M., Norazlimi, N. A., Saaban, S., and Yazi, M. F. A. (2023). Distribution and ranging area of elephant in Simpan Panti Forest, Kota Tinggi, Johor, Malaysia. Biodiversitas Journal of Biological Diversity, 24, 5731–5738. https://doi.org/10.13057/BIODIV/D241055
Jarungrattanapong, R. & Olewiler, N. (2024). Ecosystem management to reduce human–elephant conflict in Thailand. Environment, Development and Sustainability, 27, 15005–15024. https://doi.org/10.1007/s10668-024-04485-w
Khan, R. & Jhariya, D. C. (2016). Land Use Land Cover Change Detection Using Remote Sensing and Geographic Information System in Raipur Municipal Corporation Area, Chhattisgarh. International Journal of Geo Science and Geo Informatics, 3(1), 2348-6198.
Köpke, S., Withanachchi, S. S., Chinthaka Perera, E. N., Withanachchi, C. R., Gamage, D. U., Nissanka, T. S., Warapitiya, C. C., Nissanka, B. M., Ranasinghe, N. N. et al. (2024). Factors driving human–elephant conflict: statistical assessment of vulnerability and implications for wildlife conflict management in Sri Lanka. Biodiversity and Conservation, 33(11), 3075–3101. https://doi.org/10.1007/s10531-024-02903-z
Ladue, C. A., Eranda, I., Jayasinghe, C. & Vandercone, R. P. G. (2012). Mortality Patterns of Asian Elephants in a Region of Human-Elephant Conflict. The Journal of Wildlife Management, 85(4), 794–802. https://doi.org/10.1002/jwmg.22012
LaDue, C.A., Farinelli, S.M., Eranda, I., Jayasinghe, C. and Vandercone, R.P., (2021). The influence of habitat changes on elephant mortality associated with human–elephant conflict: identifying areas of concern in the north central dry zone of Sri Lanka. Sustainability, 13(24), p.13707.
Laurance, W. F., Goosem, M. & Laurance, S. G. W. (2009). Impacts of roads and linear clearings on tropical forests. Trends in Ecology & Evolution, 24(12), 659–669. https://doi.org/10.1016/j.tree.2009.06.009
Ministry of Environment, Forest and Climate Change (MoEFCC). (2017). All India Synchronized Elephant Population Estimation, 2017. Project Elephant Division, Government of India, New Delhi.
Moeng, L. B. & Basupi, V. (2022). Impacts of landscape fragmentation on human-elephant interaction in the Chobe Enclave. Master's thesis. Botswana International University of Science and Technology, Botswana.
Montez, D. & Leng, A. (2021). Status of Asian elephant and Human-elephant conflict (HEC) in Asia: A brief and updated review. Journal of Nature and Applied Research, 1(1), 28-35. https://ssrn.com/abstract=3934782
Natarajan, L., Kumar, A., Nigam, P. & Pandav, B. (2023a). An Overview of Elephant Demography in Chhattisgarh (India): Implications for Management. Journal of the Bombay Natural History Society, 120(1), 3–12. https://doi.org/10.17087/jbnhs/2023/v120/167989
Natarajan, L., Nigam, P. & Pandav, B. (2023b). Impacts of passive elephant rewilding: assessment of human fatalities in India. Environmental Conservation, 50(3), 186–191. https://doi.org/10.1017/S0376892923000115
Natarajan, L., Nigam, P. & Pandav, B. (2025). Human–elephant conflict in expanding Asian elephant range in east-central India: implications for conservation and management. Oryx, 1–9. https://doi.org/10.1017/S0030605324000930
NDTV (2024) ‘India’s Elephant Warning System Tackles Deadly Conflict’. Available at: https://www.ndtv.com/india-news/indias-elephant-warning-system-tackles-deadly-conflict-8193046
Palei, N. C., Palei, H. S., Rath, B. P. & Kar, C. S. (2014). Mortality of the Endangered Asian elephant Elephas maximus by electrocution in Odisha, India. Oryx, 48(4), 602–604. https://doi.org/10.1017/S003060531400012X
Pandey, R. K., Lakshminarayanan, N., Mittal, D., Udhayaraj, A. D., Selvin, K. M., Gupta, D. K., Kumar, R. & Tiwari, V. R., Yadav, S. et al (2024). On the Pan-India assessment of elephant corridors: Challenges, opportunities and future directions. Indian Forester, 150(10), 909–915. https://doi.org/10.36808/if/2024/v150i10/170626
Pandey, R. K., Yadav, S. P., Selvan, K. M., Natarajan, L. & Nigam, P. (2024). Elephant conservation in India: Striking a balance between coexistence and conflicts. Integrative Conservation, 3(1), 1–11. https://doi.org/10.1002/inc3.38
Pradhan, R. N., Behera, P. & Mishra, S. R. (2013). Man-Elephant Conflict: Case Study from Angul Forest Division, Odisha, India. International Research Journal of Environmental Sciences, 2(11), 106–110. https://www.isca.me/IJENS/Archive/v2/i11/15.ISCA-IRJEvS-2013-190.pdf
Qureshi, Q., Kolipakam, V., Kumar, U., Jhala, Y.V., Pandey, R.K., Habib, B., Bhardwaj, G.S., Yadav, S.P. & Tiwari, V.R. (2025) Status of Elephants in India: DNA-based Synchronous All-India Population Estimation of Elephants (SAIEE 2021–2025). Dehradun: Wildlife Institute of India. ISBN 81-85496-85-4.
Roy, K., Pandey, R.K., Athira, N.G. et al. Long-term trends in human fatalities from human–elephant conflict in Chhattisgarh, India. Scientific Reports, 15, 27360 (2025). https://doi.org/10.1038/s41598-025-13005-3
Roy, M. & Sukumar, R. (2017). Railways and wildlife: A case study of train-elephant collisions in Northern West Bengal, India. In: Borda-de-Água, L., Barrientos, R., Beja, P. & Pereira. H. M. (eds.). Railway Ecology. pp.157–177. https://doi.org/10.1007/978-3-319-57496-7_10
Sahu, G. & Vidyarthi, V. K. (2024). Modeling land use/land cover transformations in Mahanadi River basin in Chhattisgarh, India: trends and future projections. GeoJournal, 89(4), 1–14. https://doi.org/10.1007/s10708-024-11152-0
Sangma, R., Ahmad, A., Pandey, R. K., Mittal, D., George, A. M., Barman, D., Basumatary, R., Nigam, P., Habib, B., & Nath, A. (2025). Living on the Edge: Assessing spatio-temporal dynamics of Human-Elephant Interactions in Udalguri, Assam. Journal of Wildlife Science, 2(2), 53-61. https://doi.org/10.63033/JWLS.GXXB2262
Shaffer, L. J., Khadka, K. K., Van Den Hoek, J. & Naithani, K. J. (2019). Human-elephant conflict: A review of current management strategies and future directions. Frontiers in Ecology and Evolution, 6(1), 411066. https://doi.org/10.3389/fevo.2018.00235
Shameer, T. T., Routray, P., Udhayan, A., Ranjan, N., Ganesan, M. G., Manimozhi, A. & Vasanthakumari, D. (2024). Understanding the patterns and predictors of human-elephant conflict in Tamil Nadu, India. European Journal of Wildlife Research, 70(5), 1–19. https://doi.org/10.1007/s10344-024-01848-6
Shannon, G., Slotow, R., Durant, S. M., Sayialel, K. N., Poole, J., Moss, C. & McComb, K. (2013). Effects of social disruption in elephants persist decades after culling. Frontiers in Zoology, 10, 62. https://doi.org/10.1186/1742-9994-10-62
Singh, R. K. (2002). Elephants in exile: A Rapid Assessment of the Human-Elephant Conflict in Chhattisgarh. 5.
Sims, P., Holth, J. & Dillon, A. (2015). Beyond ivory: Asian elephants in crisis. World Elephant Day. https://www.worldelephantday.org/assets/Beyond%20Ivory_Asian%20Elephants%20In%20Crisis.pdf [Accessed on 20-09-2025]
The Hitvada (2023). Chhattisgarh’s initiative to mitigate human-elephant conflict via ‘App’. https://www.thehitavada.com/Encyc/2023/8/12/Chhattisgarh-s-initiative-to-mitigate-human-elephant-conflict-via-App-.html (Accessed on 30 September 2025)
The Telegraph Online (2023). Chhattisgarh: State government initiates high-tech tracking of elephant movement to avoid human-elephant conflict. Telegraph India. https://www.telegraphindia.com/india/chhattisgarh-state-government-initiates-high-tech-tracking-of-elephant-movement-to-avoid-human-elephant-conflict/cid/1943192 (Accessed on 20 April 2025)
Times of India. (2024). Elephant Conservation: Chhattisgarh’s Efforts to Prevent Human-Elephant Conflicts Highlighted by CM. Raipur News - Times of India. https://timesofindia.indiatimes.com/city/raipur/chhattisgarhs-efforts-to-prevent-human-elephant-conflicts-highlighted-by-cm/articleshow/112507810.cms(Accessed on 20 August 2025)
Vanak, A. T., Thaker, M. & Slotow, R. (2010). Do fences create an edge-effect on the movement patterns of a highly mobile mega-herbivore? Biological Conservation, 143(11), 2631–2637. https://doi.org/10.1016/j.biocon.2010.07.005
Wilson, S., Davies, T. E., Hazarika, N. & Zimmermann, A. (2015). Understanding spatial and temporal patterns of human–elephant conflict in Assam, India. Oryx, 49(1), 140–149. https://doi.org/10.1017/S0030605313000513
Yu, Q., Hu, Z., Huang, C., Xu, T., Onditi, K.O., Li, X. and Jiang, X., (2024). Suitable habitats shifting toward human-dominated landscapes of Asian elephants in China. Biodiversity and Conservation, 33(2), pp.685-704.



